- Home
- Pilot & Operators
- Hangar Information
- T&L Hangars
T&L Hangars
The T&L-hangar is a unique aircraft space that incorporates a full T-hangar attached to an L-hangar, with the separating wall removed. This unit provides the same height and width characteristics of a new T-hangar, yet also gives the flexibility to place a smaller kit aircraft or a helicopter in the attached L-hangar. This unit can also be used as storage for your general aviation sized aircraft with enough room for a large shop to complete any work.
The T&L-hangar unit is located on the west ramp and there is only one unit available for rent.
Similar to the new west ramp hangars, this unit has a number of additional amenities that make it attractive to the kit-builders or those who perform their own maintenance. The T&L Hangar was constructed to meet an H-5 occupancy rating (allows for more advanced repairs and additional maintenance on aircraft) and is sprinkled for additional safety. This unit has approximately 20-amps of individually metered power (20-amps for the T-Hangar and 20-amps for the L-Hangar), three fluorescent light fixtures, six power receptacles, four man-doors for easy entrance and exit, and has windows in the sliding doors for additional lighting. In addition, this unit allows the tenant the ability to upgrade the power to a 220v system using existing or new conduit and the installation of additional cable (please fill out the tenant information form and submit it to the airport office prior to beginning any work of this type).
Sizes
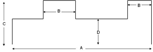
| T&L Hangars |
|
|---|---|
| Square Feet | 1,569 |
| A | 63 Feet |
| B | 40 Feet by 20 Feet |
| C | 35 Feet 6 Inches |
| D | 17 Feet 6 Inches |
| Height | 12 Feet |
| Number of Units |
1 |
Cost
The T+L Hangar monthly rate is $1,218.20 (including taxes).
Wait Time
With only one of these units available for rent, the wait time is very difficult to approximate. An estimation of one to three years would be most accurate based on past hangar turnover performance.